习近平总书记指出:“共同富裕是社会主义的本质要求,是人民群众的共同期盼。我们推动经济社会发展,归根结底是要实现全体人民共同富裕。”在经济学中,平均收入是衡量一个国家、地区或人群收入水平的常用计量指标。但是,由于高收入和低收入互相抵消,平均收入往往掩盖或忽视了收入偏低的个体,并容易出现整体收入被少数极高收入人群“拉高”的现象,可能导致计量结果偏离或违背实现共同富裕的基本原则。
近期,基于科学计量学中h指数的基本思想,世界杯官网大健康学院徐路教授提出了一个用于衡量收入水平的新型指数,即h收入指数(h income index, HII)。HII的定义如下:对某一群体中N个个体的收入,如果最多有M%的个体的收入不低于某一特定标准水平的M%,则该群体的HII为M%。与平均收入相比,HII不仅考虑了收入的高低,还考虑了达到某个较高收入水平的个体的数量或比例,为整体收入的评价和计量提供了更加丰富的信息。论文发表于《今日财富》2024年第20期。
表 一个虚拟农村居民群体(N=30)的年均纯收入数据(单位:元)
编号 | 年收入 | 编号 | 年收入 | 编号 | 年收入 | 编号 | 年收入 | 编号 | 年收入 |
1 | 10986 | 7 | 8307 | 13 | 7656 | 19 | 7254 | 25 | 7549 |
2 | 5514 | 8 | 7909 | 14 | 6091 | 20 | 59175 | 26 | 7036 |
3 | 7746 | 9 | 8399 | 15 | 6633 | 21 | 8538 | 27 | 6727 |
4 | 6833 | 10 | 107210 | 16 | 7338 | 22 | 7851 | 28 | 6222 |
5 | 9283 | 11 | 8593 | 17 | 9046 | 23 | 4379 | 29 | 9895 |
6 | 8572 | 12 | 6962 | 18 | 7670 | 24 | 9094 | 30 | 8250 |
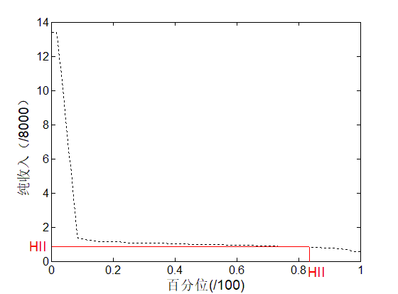
文章针对一个虚拟的农村居民群体的个人纯收入数据(N=30),计算了HII并与人均纯收入进行了比较。小康家庭标准为农村居民家庭人均纯收入达到8000元,该群体的人均纯收入为12757元,显著高于8000元,从表面看,这个群体的收入似乎超过了小康社会的标准,能否认为全面达到了小康社会的要求呢?实际上,数据中编号为10和20的两个个体的收入明显偏高,分别为107210元和59175元,正是这两个数据拉高了人均纯收入水平。因为有超过一半的个体(17/30)收入低于8000元,平均收入为12757元并未充分反映出这一群体的整体收入水平。经计算,该群体的HII值为0.8344,意味着有83.44%的个体的年度纯收入达到或超过了“特定标准水平”(8000元)的83.44%。粗略地说,可以认为该群体达成小康社会纯收入水平的83.44%,这个数值同时反映了收入水平和人数(或比例)。本例中,对照该虚拟农村居民群体的收入数据分布,与平均收入水平相比,显然HII更加符合实际情况。

图 一个虚拟的农村居民群体(N=30)的HII指数(HII=0.8344)
无论是建设小康社会,还是达成共同富裕,都是一个逐步的过程。很显然,HII能反映上述过程中收入水平和达成人数(比例)均在逐步升高的特点,具有一定合理性。如果把“某一特定标准水平”规定为中等发达国家的收入水平,则对应的HII值可用于评价一个国家或地区居民收入达到或接近中等发达国家收入水平的程度。由此可见,HII可广泛用于评价一个国家、地区或群体达到或接近共同富裕的程度。与平均收入相比,HII同时关注收入水平和达成比例,更好地体现了共同富裕的原则。HII不仅简洁实用,而且在统计学上是稳健的,其取值受极少数极端高收入个体的影响较小。
引用讲话
[1] http://www.qstheory.cn/zhuanqu/2021-08/22/c_1127784024.htm (求是网,2023-11-22)
(编辑:冯建平 一审:吴海龙 二审:徐路 三审:余静)